42
– PRINCIPALES NOUVEAUTÉS
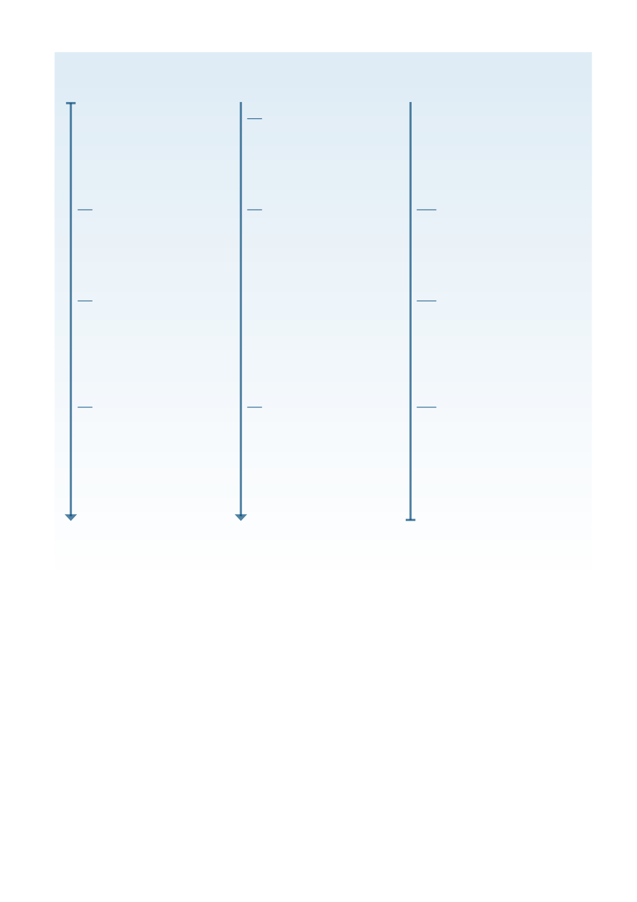
2018
2019
2020
janvier
Début du prélèvement
automa iquement déduit
sur la feuille de paie
et début des acomptes
avril à juin
Déclara ion de revenus
2017
*
avril à juin
Déclara ion de revenus
2018
avril à juin
Déclara ion de revenus 2019.
Montant du PAS pré-rempli,
avec ou sans collecteur
été
Récep ion du taux de PAS
sur l’avis d’impôt.
Possibilité d’op ions
(taux non personnalisé, individualisé,
prélèvement trimestriel des acomptes)
été
Si total des sommes
prélevées au itre du PAS
supérieur à l’impôt finalement
dû, res itu ion de l’excédent…
septembre
Le taux calculé est envoyé
aux collecteurs
septembre
Ajustement automa ique
du taux de prélèvement
sur la situa ion 2018
septembre à décembre
… dans le cas contraire,
versement du solde au cours
des quatre derniers mois.
Étalement automa ique
si solde supérieur à 300€
* Indica ion du taux de PAS et possibilité d’op ions
(taux non personnalisé, individualisé, prélèvement
trimestriel des acomptes) pour les déclarants en ligne
UNE RÉFORME QUI S’ÉTALE SUR 3 ANS




